Real-World-Daten / Sicherheit
TTFields In Germany in Routine clinical care (TIGER)1
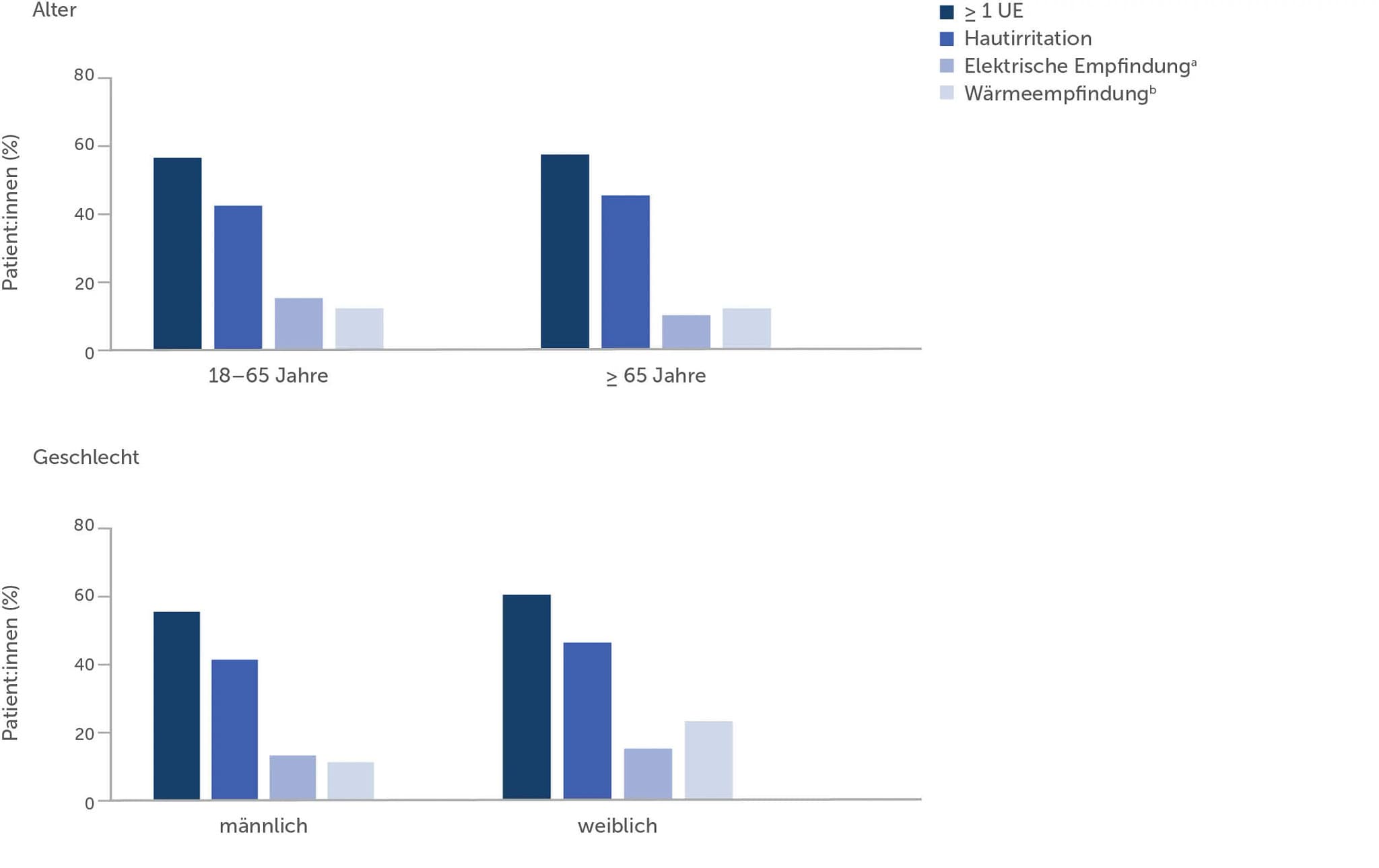
SUEs wurden bei 77% der Patient:innen beobachtet, wovon 0,7 % auf die TTFields-Therapie zurückgeführt wurden (nach Entscheidung des CEC). Mehr Informationen zur Studie und zum Studiendesign finden Sie hier

Post-Marketing Sicherheitsanalyse bei Patient:innen mit ZNS Tumoren und TTFields Behandlung zwischen 2011 und 20222
Parallel zur TIGER-Studie wurde die Sicherheit von Optune Gio in einer globalen Studie mit 25.898 Patient:innen untersucht. Es zeigten sich keine Abweichungen des Sicherheitsprofils von dem der klinischen Studien. Mehr Informationen zur Studie und zum Studiendesign finden Sie hier



Lesen Sie hier mehr zum Studiendesign und den Ergebnissen der Real-World-Studien
Fußnoten und Abkürzungen
a) Nicht Tod als Folge eines anderen Ereignisses. b) Alle Geräte-assoziierten SUEs waren mild bis moderat in der Ausprägung.
SUE = schwerwiegendes unerwünschtes Ereignis, TTFields = Tumor Treating Fields, KI = Konfidenzinterval.
Referenzen
- Bähr et al. Abstract 2036, presented at ASCO 2024.
- Mrugala et al. J Neurooncol. 2024;169:25-38. (zum Artikel)