
Real-World-Daten / Lebensqualität
TTFields In Germany in Routine clinical care (TIGER)
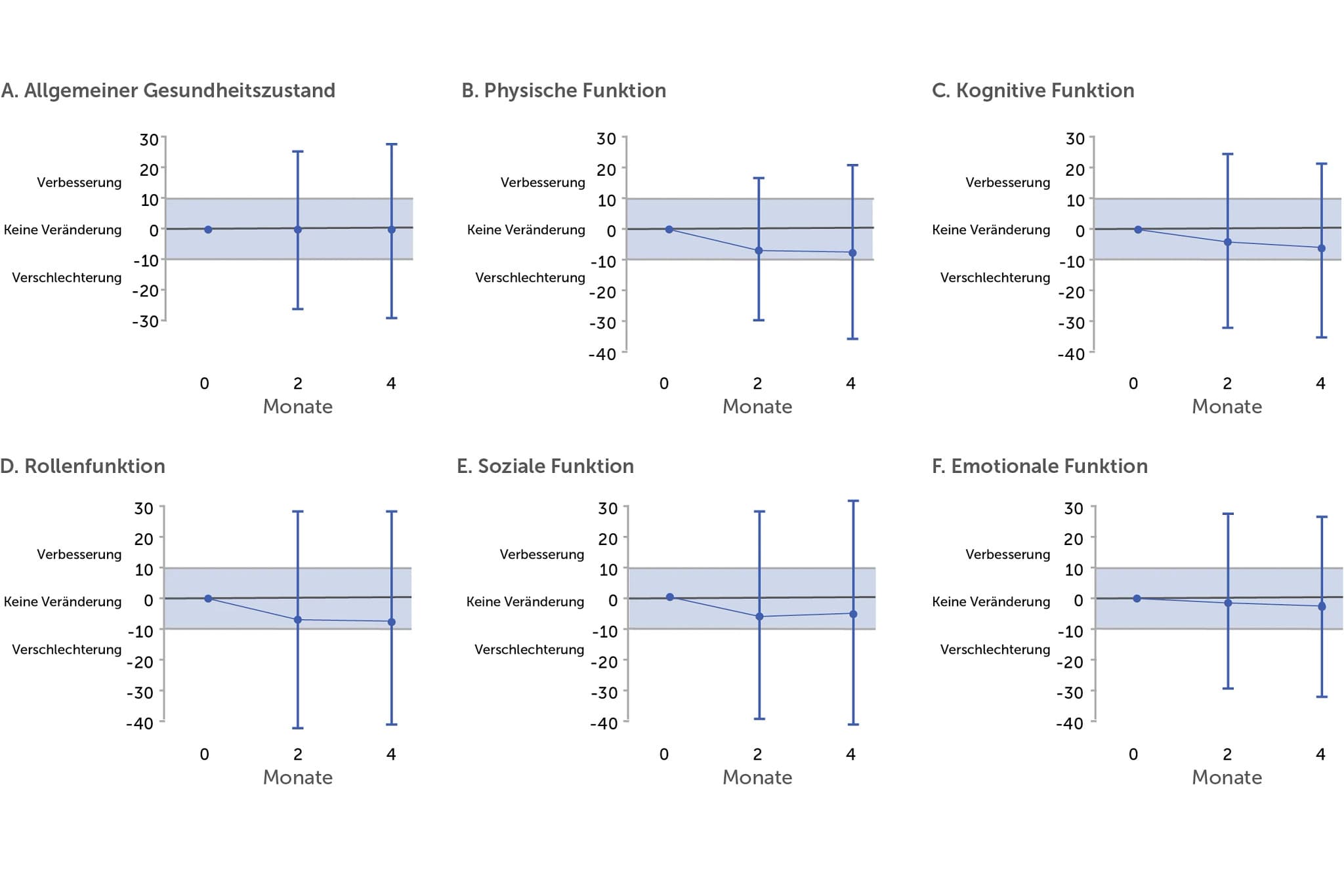
EORTC QLQ-C30 allgemeiner Gesundheitszustand und Funktionsskalen1

FU 2 mo: N=217. FU 4 mo: N=211. Analyse der Fragebögen, die ±2 Wochen vor der jeweils geplanten Nachuntersuchung ausgefüllt wurden. Eine Sensitivitätsanalyse ohne diese Einschränkung ergab ähnliche Ergebnisse.
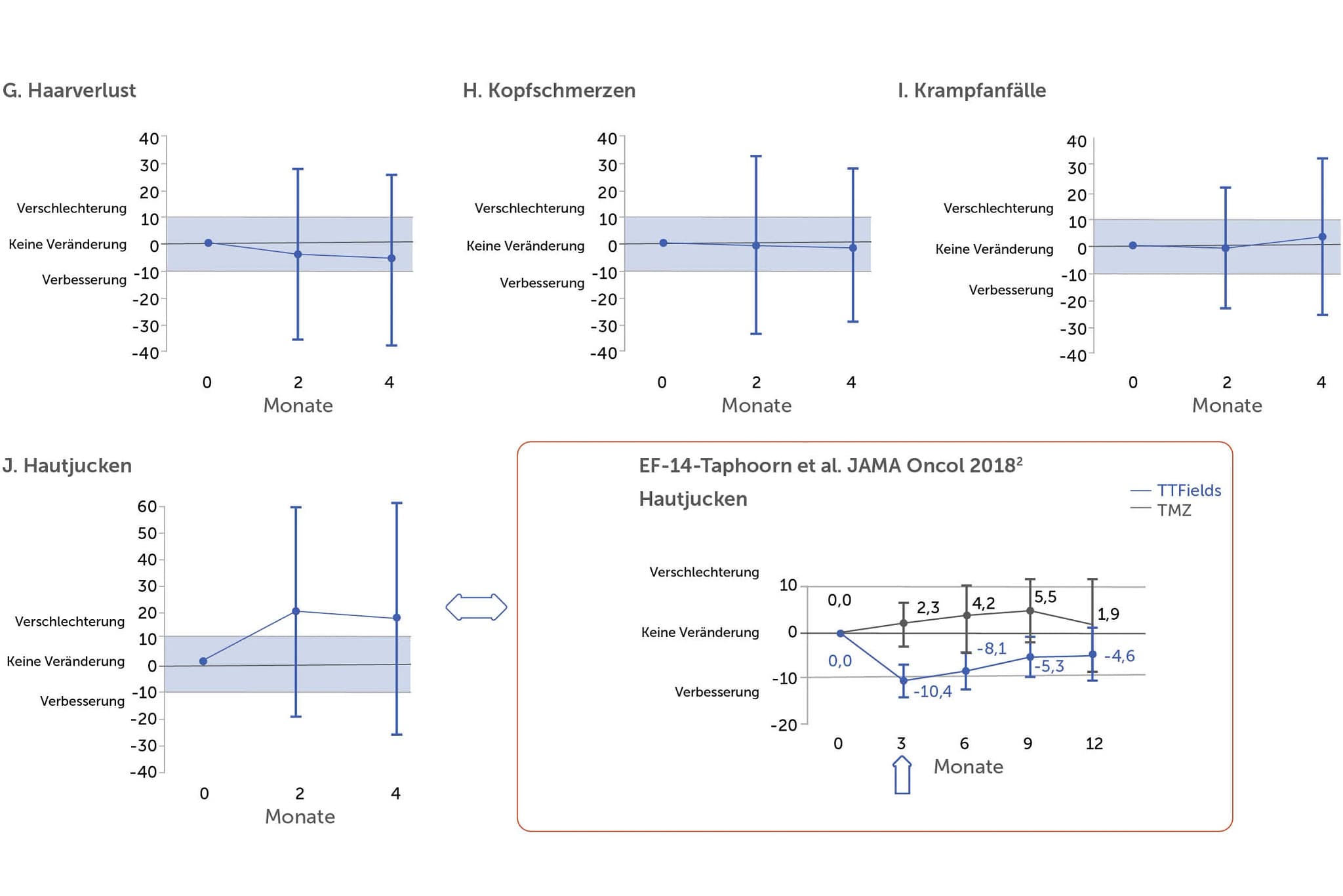
EORTC QLQ-BN201

FU 2 mo: N=217. FU 4 mo: N=211. Analyse der Fragebögen, die ±2 Wochen vor der jeweils geplanten Nachuntersuchung ausgefüllt wurden. Eine Sensitivitätsanalyse ohne diese Einschränkung ergab ähnliche Ergebnisse.
Zusammenfassung1


Lesen Sie hier mehr zu den Ergebnissen der Real-World-Studien
Fußnoten und Abkürzungen
EORTC QLQ = European Organization for the Research and Treatment of Cancer Quality of Life Questionnaire, EORTC QLQ-BN20 = European Organization for the Research and Treatment of Cancer Quality of Life Questionnaire Brain Neoplasms, FU = follow-up, HRQoL = Health-Related Quality of Life.
Referenzen
- Bähr et al. Abstract V228, presented at DGNC 2022.
- Taphoorn MJB et al. JAMA Oncol. 2018;4(4):495-504. (zum Artikel)